Raw Data Builder












| Items | Description |
| Delete | Deletes current record. |
| Edit | Switches state of the table in edit mode. |
| Post | Saves current record in the Database. |
| Cancel | Cancels changes. |
| Refresh | Refreshes the information in the table. Valuable in multi-user application when several users work with the Database simultaneously. |
| Sort | Sorts the table. |
| Find Record | Allows to set the filter on the table and to search the information by typing the first few characters. |
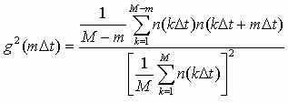
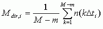
| Append | Appends the calculated statistical characteristic to the Files table. |
| Update | Updates the selected record in the Files table with the calculated statistical characteristic. |


| Items | Description |
| Delete | Deletes current record. |
| Edit | Switches state of the table in edit mode. |
| Post | Saves current record in the Database. |
| Cancel | Cancels changes. |
| Refresh | Refreshes the information in the table. Valuable in multi-user application when several users work with the Database simultaneously. |
| Sort | Sorts the table. |
| Find Record | Allows to set the filter on the table and to search the information by typing the first few characters. |
Photon Counts Calculator dialog box




(*)
(**)
| Items | Description |
| Ascending | Sorts records of the table in ascending order by the selected field. |
| Descending | Sorts records of the table in descending order by the selected field. |
Find Record Menu
Allows to set the filter on the table and to search the information by typing the first few characters.
| Items | Description |
| Quick Search | Displays a search box for the corresponding field. If you want to find quickly the necessary record you should type the first few characters and press Enter. In this case the application will automatically select the first record that contains at the beginning the characters, which matched the typed ones. For the Numeric, Logical and Data/Time fields you should type the whole value for the correspondent field. To close the search box, press Esc. |
| Filter | Opens Filter dialog box that allows to create the filter that can be applied to the selected table. If this filter is applied, the only table records that correspond to the filter criteria will be displayed. |
| Remove Filter | Removes the filter from the table. |
FRD (Flow Raw Data) is a set of simple dataformats like one column list of doubles representing photon arrival times. Users can save your own raw data (f.e. simulated) in FRD dataformat in order to use them in the FFS Data Processor. Raw data that can be processed by Raw Data Builder is a list of time events but not counts per bin, i.e. binned intensity is not the raw data, it is its characteristic.
There are two major and a number of minor versions of FRD files. First major is a binary file, second one is a text file. Versions are stored in the header that must be presented in the file. Structure of the header is following:
struct SFRD_MainHeader {
char IDBeg[3]; // = "ID:"
char IDInfo[10]; // = "FLOWDATABE"
char IDEnd[2]; // = "\r\n"
char VerBeg[3]; // = "V :"
unsigned char MajVer;
unsigned char MinVer;
char VerEnd[2]; // = "\r\n" };
Versions:
Eexamples:
example of text T1 file:
ID:FLOWDATABE
V :T1
0.00024
0.00045
example of text T2 file
ID:FLOWDATABE
V :T2
0.00024 0
0.00045 1
0.00048 0